
PHY 1151
Summer 2002
First Hour Exam
June 14, 2002
Possibly useful information:
s = si + vi t + (1/2) a t2
v = vi + a t
v2 = vi2 + 2 a (s - si)
sin
= opp/hyp
cos
= adj/hyp
tan
= opp/adj
F = m a
F12 = F21
fs,max = µs n
fk = µk n
g = 9.8 m/s2
10 m/s2
Statistics:
High: 98
Mean: 50
Low: 18?

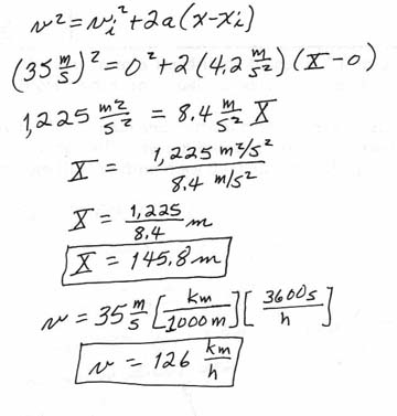
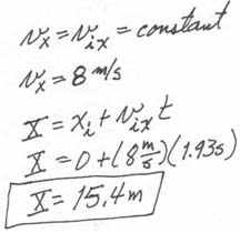
1. A car starts from rest and accelerates at a constant 4.2 m/s2.
a) How far has it gone when its speed is 35 m/s?
b) Convert 35 m/s to a speed in units of km/h.


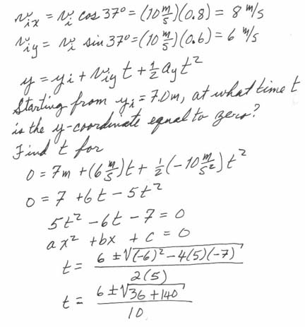
2. A ball is thrown from a third-floor balcony, 7.0 m above the parking
lot below. The ball is thrown with an initial velocity of 10 m/s, at an angle
of 37° above the horizontal.
a) What are the horizontal and vertical components of the balls
initial velocity?
b) How long is the ball in the air, before it strikes the parking lot
below?
c) How far from the building does the ball strike the parking lot below?
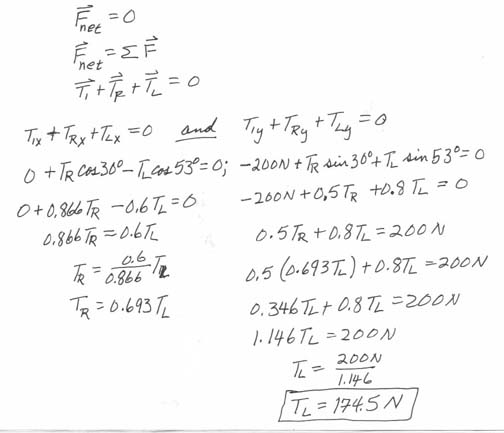
Find the tension in each of the three cords shown above.
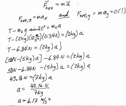
4. A 2 kg block sits on a smooth (frictionless) plane inclined 20°
above the horizontal. It is connected by a string to a 5 kg mass that hangs
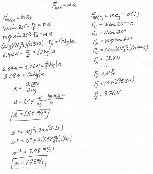
suspened from the other end of the string as shown in the sketch above. 5. A 2-kg block slides down a plane inclined at 20° from the horizontal
as shown in the diagram above. The coefficient of sliding friction between the
block and the plane is µ = 0.2.
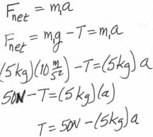
3. Consider a 20-kg mass suspended as shown:



a) Draw clear, complete free-body diagrams showing all the
forces on the two masses.
b) Apply Newtons Second Law, F = m a, to the two
masses and find the acceleration of the system.



a) Make a good, clear, complete free-body diagram showing
all the forces on the 2kg mass.
b) Apply Newtons Second Law, F = m a, to the masse
and find the acceleration of the block down the inclined plane.
c) How fast will the block be moving when it has traveled 1.0 m down
the plane?

