Ch23 Homework Solutions

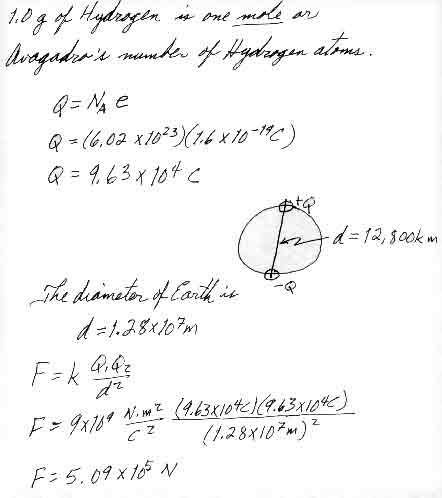
23.5 Suppose that 1.00 g of hydrogen is separated into electrons and protons. Suppose also that the protons are placed at Earth’s North Pole and the electrons are placed at the South Pole. What is the resulting compressional force on Earth?

 

 

23.*

Return to Homework Set

(c) Doug Davis, 2002; all rights reserved