Ch23 Homework Solutions

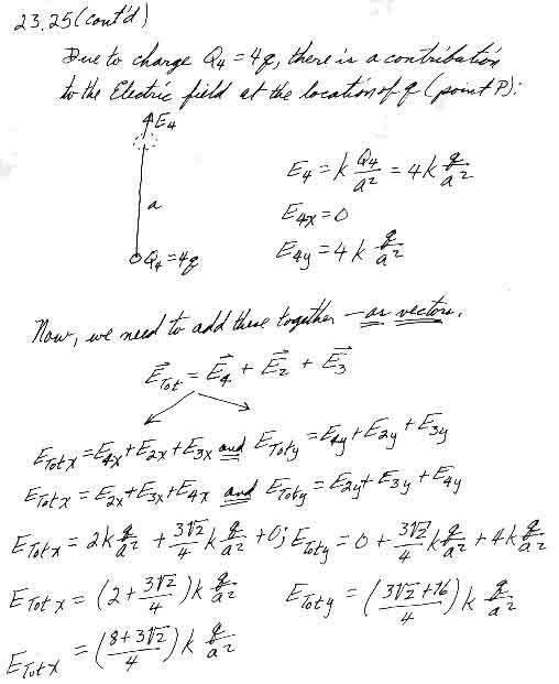
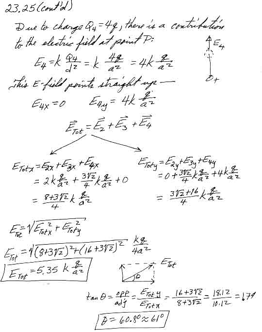
23.19. Four point charges are at the corners of a square of side a as in Figure P23.19.
(a) Determine the magnitude and direction of the electric field at the location of charge q.
(b) What is the resultant force on q?

[ These solutions say "23.25" because this was problem 25 in Serway's fourth edition. But that is the same as problem 19 in this fifth edition. I have not gone to the trouble to change all these. ]

23.19

23.***

Return to Homework Set

(c) Doug Davis, 2002; all rights reserved